Упр.105 ГДЗ Колягин Ткачёва 10 класс (Алгебра)
Решение #1
Решение #2

Рассмотрим вариант решения задания из учебника Колягин, Ткачёва, Фёдорова 10 класс, Просвещение:
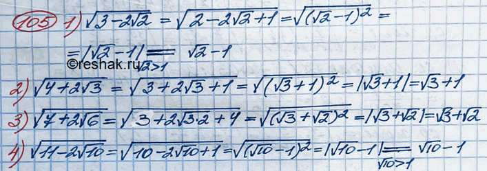
Упростить:
1) корень (3-2 корень 2);
2) корень (4 + 2 корень 3);
3) корень (7 + 2 корень 6);
4) корень (11- 2 корень 10).
*размещая тексты в комментариях ниже, вы автоматически соглашаетесь с пользовательским соглашением