Упр.112 ГДЗ Колягин Ткачёва 10 класс (Алгебра)
Решение #1
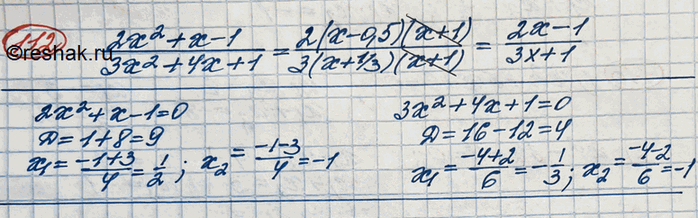
Решение #2

Рассмотрим вариант решения задания из учебника Колягин, Ткачёва, Фёдорова 10 класс, Просвещение:
Сократить дробь (2x2+x-1)/(3x2+4x+1).
*размещая тексты в комментариях ниже, вы автоматически соглашаетесь с пользовательским соглашением