Упр.13 ГДЗ Колягин Ткачёва 10 класс (Алгебра)
Решение #1
Решение #2

Рассмотрим вариант решения задания из учебника Колягин, Ткачёва, Фёдорова 10 класс, Просвещение:
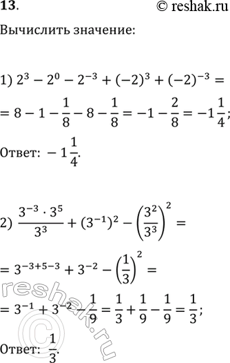
Вычислить:
1) 2^3 - 2^0 - 2^-3 + (-2)3 + (-2)^-2;
2) (3^-3 * 3^6)/3^3 + (3^-1)2 - (3^2/3^3)2.
*размещая тексты в комментариях ниже, вы автоматически соглашаетесь с пользовательским соглашением