Упр.361 ГДЗ Колягин Ткачёва 10 класс (Алгебра)
Решение #1
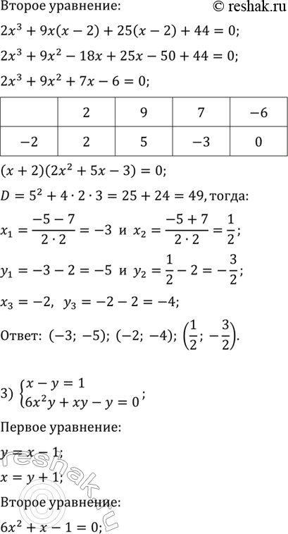
Решение #2

Рассмотрим вариант решения задания из учебника Колягин, Ткачёва, Фёдорова 10 класс, Просвещение:
361. 1) система
y-x-1,
x3-4xy+5y=-1;
2) система
x-y=2,
2x3+9xy+25y+44=0;
3) система
x-y=1,
6x2y+xy-y=0;
4) система
y-x=2,
2x3y+9x2y-5xy=0.
*размещая тексты в комментариях ниже, вы автоматически соглашаетесь с пользовательским соглашением