Упр.516 ГДЗ Колягин Ткачёва 10 класс (Алгебра)
Решение #1
Решение #2

Рассмотрим вариант решения задания из учебника Колягин, Ткачёва, Фёдорова 10 класс, Просвещение:
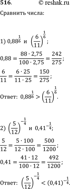
516. Сравнить числа:
1) (0,88)1/6 и (6/11)1/6;
2) (5/12)^-1/4 и (0,41)-1/4;
3) (4,09)корень 3 степени 2 и (4*3/25)корень 3 степени 2;
4) (11/12)-корень 5 и (12/13)-корень 5.
*размещая тексты в комментариях ниже, вы автоматически соглашаетесь с пользовательским соглашением