Упр.690 ГДЗ Колягин Ткачёва 10 класс (Алгебра)
Решение #1
Решение #2

Рассмотрим вариант решения задания из учебника Колягин, Ткачёва, Фёдорова 10 класс, Просвещение:
690.
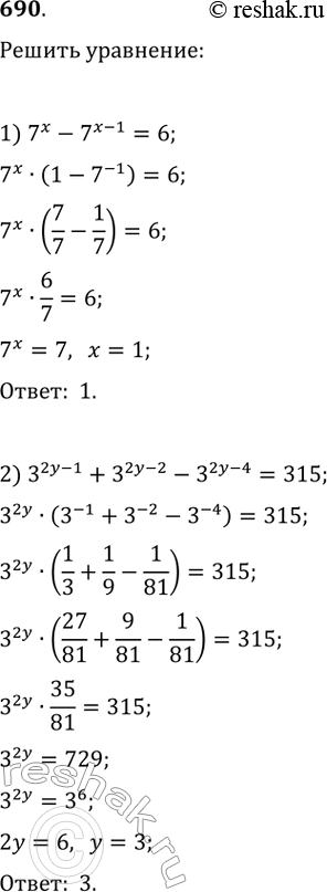
1) 7^x-7^(x-1)=6
2) 3^(2y-1)+3^(2y-2)-3^(2y-4)=315
3) 5^3x+3*5^(3x-2)=140
4) 2^(x+1)+3*2^(x-1)-5*2^x+6=0
*размещая тексты в комментариях ниже, вы автоматически соглашаетесь с пользовательским соглашением