Упр.779 ГДЗ Колягин Ткачёва 10 класс (Алгебра)
Решение #1
Решение #2

Рассмотрим вариант решения задания из учебника Колягин, Ткачёва, Фёдорова 10 класс, Просвещение:
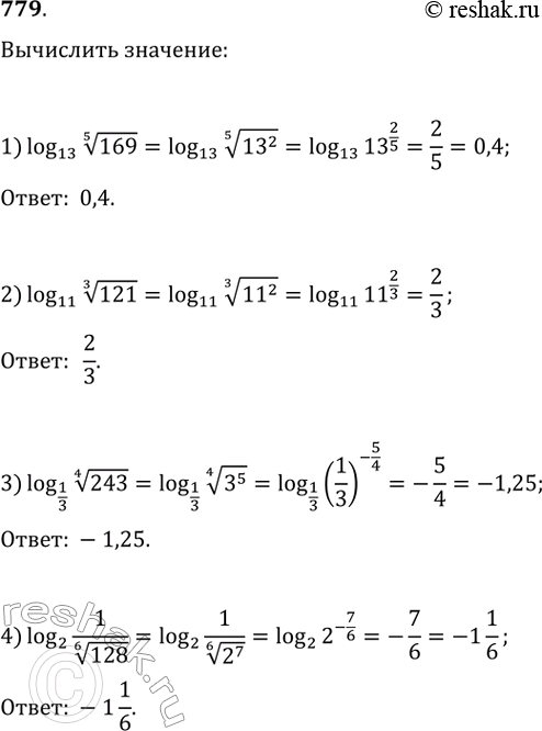
779.
1) логарифм корня пятой степени из 169 по основанию 8
2) логарифм корня третьей степени из 121 по основанию 11
3) логарифм корня четвертой степени из 243 по основанию 1/3
4) логарим (1/корень шестой степени из 128) по основанию 2
*размещая тексты в комментариях ниже, вы автоматически соглашаетесь с пользовательским соглашением